光华教育您身边的继续教育服务专家
光华教育老师直接接听
微信扫码拨号
2025年11月11日 更新
点击关注 随时获取更多报考信息一级造价工程师考试,时间数字考点每年都考,记牢了考场碰到就是稳得分!针对这一类题型,没有捷径,只有多背多回顾,反复记忆*有效!以下整理了《案例分析(土建安装)》科目的时间数字考点,快来背!2025一造《案例分析(土建安装)》第*章1.投资...

点击关注 随时获取更多报考信息一级造价工程师考试,时间数字考点每年都考,记牢了考场碰到就是稳得分!针对这一类题型,没有捷径,只有多背多回顾,反复记忆*有效!以下整理了《案例分析(土建安装)》科目的时间数字考点,快来背!2025一造《案例分析(土建安装)》第*章1.投资估算(1)进口设备原价

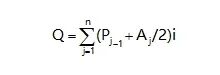
(2)预备费和建设期利息1)基本预备费=(工程费用+工程建设其他费用)×基本预备费费率。2)价差预备费计算公式为:

3)建设期利息计算公式:

(3)静态投资方法:1)生产能力指数法:

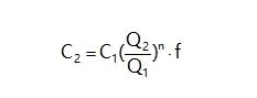
C?——已建类似工程项目的投资额;C2——拟建工程项目的投资额;Q?——已建类似工程项目的生产能力;Q2——拟建工程项目的生产能力;f——不同时期、不同地点的定额、单价、费用变更等的综合调整系数;生产能力指数,0≤n≤1。2.财务分析:(1)总成本计算方法总结:1)总成本费用指的是年总成本费用,它发生在项目的运营期。总成本费用=经营成本+折旧+摊销+利息+维持运营投资或:总成本费用=固定成本+可变成本2)经营成本=外购原材料、燃料及动力费+工资及福利费+修理费+其他费用经营成本=固定成本+可变成本【考点提示】总成本费用中的折旧、摊销、利息支出、维持运营投资一般为固定成本,经营成本一般为可变成本。经营成本中的外购原材料、燃料及动力费为可变成本,工资及福利费、修理费、其他费用一般为固定成本。3)折旧(一般采用直线法折旧)折旧费=(固定资产原值-残值)/折旧年限【考点提示】①建设项目融资前,固定资产原值不含建设期利息;②建设项目融资后,固定资产原值应包含建设期利息。③可抵扣的固定资产进项税额不形成固定资产;固定资产原值=形成固定资产的费用-可抵扣固定资产进项税额。4)残值与余值残值=固定资产原值×残值率(如5%)余值=残值+(折旧年限-运营年限)×年折旧费5)摊销(平均年限法)年摊销费=(无形资产+其他资产)/摊销年限6)利息总成本费用中的利息包括建设期贷款利息、流动资金贷款利息、临时借款利息;即:运营期某年利息和=建设期贷款利息+流动资金贷款利息+临时借款利息7)维持运营投资(一般列入年度总成本)8)固定成本及可变成本(一般与盈亏平衡分析结合考查)按题目背景来计算(可变成本与产品可变单价及数量有关)(2)两个核心公式总结:【核心公式1】税前利润(利润总额)税前利润=营业收入(不含销项税)-总成本(不含进项税)-增值税附加+补贴收入=营业收入-(经+折+摊+息+维)-附+补推1:息税前利润=营业收入-(经+折+摊+维)-附+补推2:息税折摊前利润=营-(经+维)-附+补【核心公式2】偿债备付率偿债备付率=(息税折摊前利润-企业所得税)/(本+息)=可用于还款的钱/当期应还的钱(本+息)<1,发生短期借款;≥1,不发生短期借款。推1:不考虑利润分配时:折旧+摊销+净利润-本金<0,发生短期借款;折旧+摊销+净利润-本金≥0,不发生短期借款。推2:考虑利润分配时:折旧+摊销+未分配利润-本金<0,发生短期借款;折旧+摊销+未分配利润-本金≥0,不发生短期借款;未分配利润=净利润+期初未分配利润-法定盈余公积金-应付投资者各方股利(3)基于利润与利润分配表的财务评价:1)主要评价指标:总投资收益率(ROI)、项目资本金净利润率(ROE)总投资收益率(ROI)=[正常年份(或运营期内年平均)息税前利润]/总投资)×资本金净利润率(ROE)=[正常年份(或运营期内年平均)净利润]/项目资本金)×财务评价:总投资收益率≥行业收益率参考值,项目可行;项目资本金净利润率≥行业资本金净利润率,项目可行。2)建设期贷款的第三种还款方式即按*大偿还能力还款*大偿还能力=息税折旧摊销前利润-所得税=息税前利润+折旧费+摊销费-所得税=营业收入(不含税)+补贴收入-经营成本(不含税)-维持运营投资-增值税附加-所得税≥当年应还的本息和,则能满足还款要求,反之不行。(3)盈余资金【财务计划现金流量表】与其他现金流量表区分盈余资金=流入-流出=营业收入+销项税-(经营成本+进项税+增值税+附加税+所得税)-(本金+利息)=营业收入-经营成本-附加税-所得税-(本金+利息)+(销项税-进项税)-增值税如何记:偿债备付率=(息税折旧摊销前利润-所得税)/当年本息之和息税折旧摊销前利润-所得税-(本金+利息)=折旧+摊销+息税前利润-所得税-本金-利息=折旧+摊销+利息+利润总额-所得税-本金-利息=折旧+摊销+利息+(营业收入-总成本-附加税)-所得税-本金-利息=营业收入-经营成本-附加税-所得税-本金-利息盈余资金(总结)营业收入-经营成本-附加税-所得税-(本金+利息)+(销项税-进项税)-增值税息税折旧摊销前利润-所得税-(本金+利息)+(销项税-进项税)-增值税=折旧+摊销+息税前利润-所得税-本金-利息+(销项税-进项税)-增值税=折旧+摊销+息税前利润-所得税-本金-利息=折旧+摊销+利息+利润总额-所得税-本金-利息=折旧+摊销+净利润-本金=息税折旧摊销前利润-所得税-(本金+利息)+(销项税-进项税)-增值税=折旧+摊销+息税前利润-所得税-本金-利息+(销项税-进项税)-增值税化简:折旧+摊销+净利润-本金+(销项税-进项税)-增值税3.盈亏平衡分析:牢记:收入=成本,并假定:产量=销量

备考2025一造考试,推荐光华教育造价视频课程,这里有教学经验丰富的老师为你总结教材重难点,有耐心专业的助教人员为你答疑解惑,有质量高题量多的题库助你巩固提升,有专业督学群全程指导。

关注光华教育随时获取最新报考信息,更有学习干货分享,记得加关注呦备考刷题:光华教育小程序提供章节习题、历年真题、模拟试题、每日一练、模考大赛、答题闯关等刷题功能,大家可通过刷题,加深巩固,掌握要点,查漏补缺,稳步提升!【进入小程序刷题】扫描上方二维码免费试听马上学习吧~ 更有每日一练 历年真题 模考试题 免费海量试题END往期回顾REVIEW2025年中级经济师《中级经济基础》8大新增考点!紧跟时事,务必关注!26年社会工作者新课75折钜惠秒杀2025年国家开放大学秋季招生简章

联系我们0633-2190000 0633-21900010633-2190007 0633-2190011

点分享

点收藏

点点赞

点在看
相关资讯
2025年2月17日中国人事考试网已经明确:2025年中级经济师*查询时间定在12月上旬。等查分入口开通,考生自己登中国人事考试网,点【*查询】专栏就能查。很多考生问能不能复核*?能,但复核只查卷面漏评、分数计算/合分/登分有没有错——毕竟都是客观题机考,电脑直接判卷合...
2025/11/19 0:07:33点击关注 随时获取更多报考信息2025年一级造价工程师考试10月18日开考,考前“清单”请逐一核对!预祝大家成功上岸!一、打印准考证请趁早请考生登录中国人事考试网http://www.cpta.com.cn/“打印准考证”栏目,自行打印准考证(黑白、彩色均可),准考证...
2025/11/10 0:08:24点击关注 随时获取更多报考信息国庆的旗,扬起奋进的帆;中秋的月,照亮团圆的路。双节同至,国与家撞了个满怀, 愿国昌盛,人团圆。愿所有努力生活的人, 花好月圆,心中梦圆, 生活一年胜一年??。月满九州,证起新程。在这个美好的节日里,光华教育值此佳节给大家送上新课福利,全...
2025/11/10 0:08:24点击关注 随时获取更多报考信息2025年山东中级注册安全工程师考试准考证打印时间为10月21日9∶00至10月26日18∶00,报考人员登录中国人事考试网“准考证打印”栏目,用A4纸自行打印准考证。2025年山东中级注册安全工程师准考证打印时间应试人员须在2025年1...
2025/11/10 0:08:24点击关注 随时获取更多报考信息针对一级造价工程师《案例分析》科目(土建/安装专业),掌握高效的答题技巧是的关键。案例题的命题核心是考察造价工作的全过程,答题需遵循清晰的逻辑!这些考场技巧提前看准没错!一、土建安装案例通用高分答题技巧1、“先看问题,再读背景”法步骤:拿...
2025/11/10 0:08:24“日照光华教育培训”是日照光华教育培训学校在教育宝平台开设的店铺,若该店铺内信息涉嫌虚假或违法,请点击这里向教育宝反馈,我们将及时进行处理。